ConcurrentHashMap 从 Java 7 到 Java 8

Happens-before 关系

happens-before 关系保证:如果线程 A 与线程 B 满足 happens-before 关系,则线程 A 执行动作的结果对于线程 B 是可见的。如果两个操作未按 happens-before 排序,JVM 将可以对他们任意重排序。

下面介绍几个与理解 ConcurrentHashMap 有关的 happens-before 关系法则:

  1. 程序次序法则:如果在程序中,所有动作 A 出现在动作 B 之前,则线程中的每动作 A 都 happens-before 于该线程中的每一个动作 B。
  2. 监视器锁法则:对一个监视器的解锁 happens-before 于每个后续对同一监视器的加锁。
  3. Volatile 变量法则:对 Volatile 域的写入操作 happens-before 于每个后续对同一 Volatile 的读操作。
  4. 传递性:如果 A happens-before 于 B,且 B happens-before C,则 A happens-before C。

Java 7基于分段锁的ConcurrentHashMap

数据结构

Java 7中的ConcurrentHashMap 类中包含两个静态内部类 HashEntry 和 Segment。HashEntry 用来封装映射表的键 / 值对;Segment 用来充当锁的角色,每个 Segment 对象守护整个散列映射表的若干个桶。每个桶是由若干个 HashEntry 对象链接起来的链表。一个 ConcurrentHashMap 实例中包含由若干个 Segment 对象组成的数组。

  1. 最大的分段(segment)数为2的16次方,每一个segment的HashEntry[]的最大容量为2的30次方。
  2. 默认的分段数和每个segment的HashEntry[]的初始容量均为16。segment的默认加载因子为0.75。
  3. 定位segment段需要用的两个参数:segmentMask,segmentShift。

整体数据结构如下图所示:

java7数据结构

HashEntry 类

HashEntry 用来封装散列映射表中的键值对。在 HashEntry 类中,key,hash 和 next 域都被声明为 final 型,value 域被声明为 volatile 型。

1
2
3
4
5
6
7
8
9
10
11
12
13
14
//HashEntry 类的定义
static final class HashEntry<K,V> {
final K key; // 声明 key 为 final 型
final int hash; // 声明 hash 值为 final 型
volatile V value; // 声明 value 为 volatile 型
final HashEntry<K,V> next; // 声明 next 为 final 型

HashEntry(K key, int hash, HashEntry<K,V> next, V value) {
this.key = key;
this.hash = hash;
this.next = next;
this.value = value;
}
}

在 ConcurrentHashMap 中,在散列时如果产生“碰撞”,将采用“分离链接法”来处理“碰撞”:把“碰撞”的 HashEntry 对象链接成一个链表。由于 HashEntry 的 next 域为 final 型,所以新节点只能在链表的表头处插入。 下图是在一个空桶中依次插入 A,B,C 三个 HashEntry 对象后的结构图:

插入三个节点后桶的结构示意图

由于只能在表头插入,所以链表中节点的顺序和插入的顺序相反。

Segment 类

Segment 类继承于 ReentrantLock 类,从而使得 Segment 对象能充当锁的角色。每个 Segment 对象用来守护其(成员对象 table 中)包含的若干个桶。

table 是一个由 HashEntry 对象组成的数组。table 数组的每一个数组成员就是散列映射表的一个桶。

count 变量是一个计数器,它表示每个 Segment 对象管理的 table 数组(若干个 HashEntry 组成的链表)包含的 HashEntry 对象的个数。每一个 Segment 对象都有一个 count 对象来表示本 Segment 中包含的 HashEntry 对象的总数。注意,之所以在每个 Segment 对象中包含一个计数器,而不是在 ConcurrentHashMap 中使用全局的计数器,是为了避免出现“热点域”而影响 ConcurrentHashMap 的并发性。

1
2
3
4
5
6
7
8
9
10
11
12
13
14
15
16
17
18
19
20
21
22
23
24
25
26
27
28
29
30
31
32
33
34
35
36
37
38
39
40
41
42
43
44
45
46
47
48
49
50
51
52
53
54
55
56
57
58
//Segment 类的定义
static final class Segment<K,V> extends ReentrantLock implements Serializable {
/**
* 在本 segment 范围内,包含的 HashEntry 元素的个数
* 该变量被声明为 volatile 型
*/
transient volatile int count;

/**
* table 被更新的次数
*/
transient int modCount;

/**
* 当 table 中包含的 HashEntry 元素的个数超过本变量值时,触发 table 的再散列
*/
transient int threshold;

/**
* table 是由 HashEntry 对象组成的数组
* 如果散列时发生碰撞,碰撞的 HashEntry 对象就以链表的形式链接成一个链表
* table 数组的数组成员代表散列映射表的一个桶
* 每个 table 守护整个 ConcurrentHashMap 包含桶总数的一部分
* 如果并发级别为 16,table 则守护 ConcurrentHashMap 包含的桶总数的 1/16
*/
transient volatile HashEntry<K,V>[] table;

/**
* 装载因子
*/
final float loadFactor;

Segment(int initialCapacity, float lf) {
loadFactor = lf;
setTable(HashEntry.<K,V>newArray(initialCapacity));
}

/**
* 设置 table 引用到这个新生成的 HashEntry 数组
* 只能在持有锁或构造函数中调用本方法
*/
void setTable(HashEntry<K,V>[] newTable) {
// 计算临界阀值为新数组的长度与装载因子的乘积
threshold = (int)(newTable.length * loadFactor);
table = newTable;
}

/**
* 根据 key 的散列值,找到 table 中对应的那个桶(table 数组的某个数组成员)
*/
HashEntry<K,V> getFirst(int hash) {
HashEntry<K,V>[] tab = table;
// 把散列值与 table 数组长度减 1 的值相“与”,
// 得到散列值对应的 table 数组的下标
// 然后返回 table 数组中此下标对应的 HashEntry 元素
return tab[hash & (tab.length - 1)];
}
}

下图是依次插入 ABC 三个 HashEntry 节点后,Segment 的结构示意图。

插入三个节点后Segment的结构示意图

ConcurrentHashMap 类

ConcurrentHashMap 在默认并发级别会创建包含 16 个 Segment 对象的数组。每个 Segment 的成员对象 table 包含若干个散列表的桶。每个桶是由 HashEntry 链接起来的一个链表。如果键能均匀散列,每个 Segment 大约守护整个散列表中桶总数的 1/16。

1
2
3
4
5
6
7
8
9
10
11
12
13
14
15
16
17
18
19
20
21
22
23
24
25
26
27
28
29
30
31
32
33
34
35
36
37
38
39
40
41
42
43
44
45
46
47
48
49
50
51
52
53
54
55
56
57
58
59
60
61
62
63
64
65
66
67
68
69
70
71
72
73
74
75
76
77
78
79
80
81
82
83
84
85
86
87
88
89
90
91
92
93
//ConcurrentHashMap 类的定义
public class ConcurrentHashMap<K, V> extends AbstractMap<K, V>
implements ConcurrentMap<K, V>, Serializable {

/**
* 散列映射表的默认初始容量为 16,即初始默认为 16 个桶
* 在构造函数中没有指定这个参数时,使用本参数
*/
static final int DEFAULT_INITIAL_CAPACITY= 16;

/**
* 散列映射表的默认装载因子为 0.75,该值是 table 中包含的 HashEntry 元素的个数与
* table 数组长度的比值
* 当 table 中包含的 HashEntry 元素的个数超过了 table 数组的长度与装载因子的乘积时,
* 将触发 再散列
* 在构造函数中没有指定这个参数时,使用本参数
*/
static final float DEFAULT_LOAD_FACTOR= 0.75f;

/**
* 散列表的默认并发级别为 16。该值表示当前更新线程的估计数
* 在构造函数中没有指定这个参数时,使用本参数
*/
static final int DEFAULT_CONCURRENCY_LEVEL= 16;

/**
* segments 的掩码值
* key 的散列码的高位用来选择具体的 segment
*/
final int segmentMask;

/**
* 偏移量
*/
final int segmentShift;

/**
* 由 Segment 对象组成的数组
*/
final Segment<K,V>[] segments;

/**
* The maximum number of segments to allow; used to bound
* constructor arguments.
*/
static final int MAX_SEGMENTS = 1 << 16;

/**
* 创建一个带有指定初始容量、加载因子和并发级别的新的空映射。
*/
public ConcurrentHashMap(int initialCapacity,
float loadFactor, int concurrencyLevel) {
if(!(loadFactor > 0) || initialCapacity < 0 ||
concurrencyLevel <= 0)
throw new IllegalArgumentException();

if(concurrencyLevel > MAX_SEGMENTS)
concurrencyLevel = MAX_SEGMENTS;

// 寻找最佳匹配参数(不小于给定参数的最接近的 2 次幂)
int sshift = 0;
int ssize = 1;
while(ssize < concurrencyLevel) {
++sshift;
ssize <<= 1;
}
segmentShift = 32 - sshift; // 偏移量值
segmentMask = ssize - 1; // 掩码值
this.segments = Segment.newArray(ssize); // 创建数组

if (initialCapacity > MAXIMUM_CAPACITY)
initialCapacity = MAXIMUM_CAPACITY;
int c = initialCapacity / ssize;
if(c * ssize < initialCapacity)
++c;
int cap = 1;
while(cap < c)
cap <<= 1;

// 依次遍历每个数组元素
for(int i = 0; i < this.segments.length; ++i)
// 初始化每个数组元素引用的 Segment 对象
this.segments[i] = new Segment<K,V>(cap, loadFactor);
}

/**
* 创建一个带有默认初始容量 (16)、默认加载因子 (0.75) 和 默认并发级别 (16)
* 的空散列映射表。
*/
public ConcurrentHashMap() {
// 使用三个默认参数,调用上面重载的构造函数来创建空散列映射表
this(DEFAULT_INITIAL_CAPACITY, DEFAULT_LOAD_FACTOR, DEFAULT_CONCURRENCY_LEVEL);
}

下面是 ConcurrentHashMap 的结构示意图。

ConcurrentHashMap的结构示意图

寻址方式

在读写某个Key时,先取该Key的哈希值。并将哈希值的高N位对Segment个数取模从而得到该Key应该属于哪个Segment,接着如同操作HashMap一样操作这个Segment。为了保证不同的值均匀分布到不同的Segment,需要通过如下方法计算哈希值。

1
2
3
4
5
6
7
8
9
10
11
12
13
private int hash(Object k) {
int h = hashSeed;
if ((0 != h) && (k instanceof String)) {
return sun.misc.Hashing.stringHash32((String) k);
}
h ^= k.hashCode();
h += (h << 15) ^ 0xffffcd7d;
h ^= (h >>> 10);
h += (h << 3);
h ^= (h >>> 6);
h += (h << 2) + (h << 14);
return h ^ (h >>> 16);
}

同样为了提高取模运算效率,通过如下计算,ssize即为大于concurrencyLevel的最小的2的N次方,同时segmentMask为2^N-1。这一点跟上文中计算数组长度的方法一致。对于某一个Key的哈希值,只需要向右移segmentShift位以取高sshift位,再与segmentMask取与操作即可得到它在Segment数组上的索引。

1
2
3
4
5
6
7
8
9
int sshift = 0;
int ssize = 1;
while (ssize < concurrencyLevel) {
++sshift;
ssize <<= 1;
}
this.segmentShift = 32 - sshift;
this.segmentMask = ssize - 1;
Segment<K,V>[] ss = (Segment<K,V>[])new Segment[ssize];

size操作

put、remove和get操作只需要关心一个Segment,而size操作需要遍历所有的Segment才能算出整个Map的大小。一个简单的方案是,先锁住所有Sgment,计算完后再解锁。但这样做,在做size操作时,不仅无法对Map进行写操作,同时也无法进行读操作,不利于对Map的并行操作。

为更好支持并发操作,ConcurrentHashMap会在不上锁的前提逐个Segment计算3次size,如果某相邻两次计算获取的所有Segment的更新次数(每个Segment都与HashMap一样通过modCount跟踪自己的修改次数,Segment每修改一次其modCount加一)相等,说明这两次计算过程中无更新操作,则这两次计算出的总size相等,可直接作为最终结果返回。如果这三次计算过程中Map有更新,则对所有Segment加锁重新计算Size。该计算方法代码如下:

1
2
3
4
5
6
7
8
9
10
11
12
13
14
15
16
17
18
19
20
21
22
23
24
25
26
27
28
29
30
31
32
33
34
35
36
37
public int size() {
final Segment<K,V>[] segments = this.segments;
int size;
boolean overflow; // true if size overflows 32 bits
long sum; // sum of modCounts
long last = 0L; // previous sum
int retries = -1; // first iteration isn't retry
try {
for (;;) {
if (retries++ == RETRIES_BEFORE_LOCK) {
for (int j = 0; j < segments.length; ++j)
ensureSegment(j).lock(); // force creation
}
sum = 0L;
size = 0;
overflow = false;
for (int j = 0; j < segments.length; ++j) {
Segment<K,V> seg = segmentAt(segments, j);
if (seg != null) {
sum += seg.modCount;
int c = seg.count;
if (c < 0 || (size += c) < 0)
overflow = true;
}
}
if (sum == last)
break;
last = sum;
}
} finally {
if (retries > RETRIES_BEFORE_LOCK) {
for (int j = 0; j < segments.length; ++j)
segmentAt(segments, j).unlock();
}
}
return overflow ? Integer.MAX_VALUE : size;
}

用分离锁实现多个线程间的并发写操作

在 ConcurrentHashMap 中,线程对映射表做读操作时,一般情况下不需要加锁就可以完成,对容器做结构性修改的操作才需要加锁。下面以 put 操作为例说明对 ConcurrentHashMap 做结构性修改的过程。

首先,根据 key 计算出对应的 hash 值:

1
2
3
4
5
6
7
8
//Put 方法的实现
public V put(K key, V value) {
if (value == null) //ConcurrentHashMap 中不允许用 null 作为映射值
throw new NullPointerException();
int hash = hash(key.hashCode()); // 计算键对应的散列码
// 根据散列码找到对应的 Segment
return segmentFor(hash).put(key, hash, value, false);
}

然后,根据 hash 值找到对应的Segment 对象:

1
2
3
4
5
6
7
8
9
10
11
//根据 hash 值找到对应的 Segment
/**
* 使用 key 的散列码来得到 segments 数组中对应的 Segment
*/
final Segment<K,V> segmentFor(int hash) {
// 将散列值右移 segmentShift 个位,并在高位填充 0
// 然后把得到的值与 segmentMask 相“与”
// 从而得到 hash 值对应的 segments 数组的下标值
// 最后根据下标值返回散列码对应的 Segment 对象
return segments[(hash >>> segmentShift) & segmentMask];
}

最后,在这个 Segment 中执行具体的 put 操作:

1
2
3
4
5
6
7
8
9
10
11
12
13
14
15
16
17
18
19
20
21
22
23
24
25
26
27
28
29
30
31
32
33
34
//在 Segment 中执行具体的 put 操作
V put(K key, int hash, V value, boolean onlyIfAbsent) {
lock(); // 加锁,这里是锁定某个 Segment 对象而非整个 ConcurrentHashMap
try {
int c = count;
if (c++ > threshold) // 如果超过再散列的阈值
rehash(); // 执行再散列,table 数组的长度将扩充一倍
HashEntry<K,V>[] tab = table;
// 把散列码值与 table 数组的长度减 1 的值相“与”
// 得到该散列码对应的 table 数组的下标值
int index = hash & (tab.length - 1);
// 找到散列码对应的具体的那个桶
HashEntry<K,V> first = tab[index];
HashEntry<K,V> e = first;
while (e != null && (e.hash != hash || !key.equals(e.key)))
e = e.next;
V oldValue;
if (e != null) { // 如果键 / 值对以经存在
oldValue = e.value;
if (!onlyIfAbsent)
e.value = value; // 设置 value 值
}
else { // 键 / 值对不存在
oldValue = null;
++modCount; // 要添加新节点到链表中,所以 modCont 要加 1
// 创建新节点,并添加到链表的头部
tab[index] = new HashEntry<K,V>(key, hash, first, value);
count = c; // 写 count 变量
}
return oldValue;
} finally {
unlock(); // 解锁
}
}

注意:这里的加锁操作是针对(键的 hash 值对应的)某个具体的 Segment,锁定的是该 Segment 而不是整个 ConcurrentHashMap。因为插入键/值对操作只是在这个 Segment 包含的某个桶中完成,不需要锁定整个ConcurrentHashMap。此时,其他写线程对另外 15 个Segment 的加锁并不会因为当前线程对这个 Segment 的加锁而阻塞。同时,所有读线程几乎不会因本线程的加锁而阻塞(除非读线程刚好读到这个 Segment 中某个 HashEntry 的 value 域的值为 null,此时需要加锁后重新读取该值)。

相比较于 HashTable 和由同步包装器包装的 HashMap每次只能有一个线程执行读或写操作,ConcurrentHashMap 在并发访问性能上有了质的提高。在理想状态下,ConcurrentHashMap 可以支持 16 个线程执行并发写操作(如果并发级别设置为 16),及任意数量线程的读操作。

获取锁时,并不直接使用lock来获取,因为该方法获取锁失败时会挂起(参考可重入锁)。事实上,它使用了自旋锁,如果tryLock获取锁失败,说明锁被其它线程占用,此时通过循环再次以tryLock的方式申请锁。如果在循环过程中该Key所对应的链表头被修改,则重置retry次数。如果retry次数超过一定值,则使用lock方法申请锁。

这里使用自旋锁是因为自旋锁的效率比较高,但是它消耗CPU资源比较多,因此在自旋次数超过阈值时切换为互斥锁。

用 HashEntery 对象的不变性来降低读操作对加锁的需求

在代码清单“HashEntry 类的定义”中我们可以看到,HashEntry 中的 key,hash,next 都声明为 final 型。这意味着,不能把节点添加到链接的中间和尾部,也不能在链接的中间和尾部删除节点。这个特性可以保证:在访问某个节点时,这个节点之后的链接不会被改变。这个特性可以大大降低处理链表时的复杂性。

同时,HashEntry 类的 value 域被声明为 Volatile 型,Java 的内存模型可以保证:某个写线程对 value 域的写入马上可以被后续的某个读线程“看”到。在 ConcurrentHashMap 中,不允许用 unll 作为键和值,当读线程读到某个 HashEntry 的 value 域的值为 null 时,便知道产生了冲突——发生了重排序现象,需要加锁后重新读入这个 value 值。这些特性互相配合,使得读线程即使在不加锁状态下,也能正确访问 ConcurrentHashMap。

下面我们分别来分析线程写入的两种情形:对散列表做非结构性修改的操作和对散列表做结构性修改的操作。

非结构性修改操作只是更改某个 HashEntry 的 value 域的值。由于对 Volatile 变量的写入操作将与随后对这个变量的读操作进行同步。当一个写线程修改了某个 HashEntry 的 value 域后,另一个读线程读这个值域,Java 内存模型能够保证读线程读取的一定是更新后的值。所以,写线程对链表的非结构性修改能够被后续不加锁的读线程“看到”。

对 ConcurrentHashMap 做结构性修改,实质上是对某个桶指向的链表做结构性修改。如果能够确保:在读线程遍历一个链表期间,写线程对这个链表所做的结构性修改不影响读线程继续正常遍历这个链表。那么读 / 写线程之间就可以安全并发访问这个 ConcurrentHashMap。

结构性修改操作包括 put,remove,clear。下面我们分别分析这三个操作。

clear 操作只是把 ConcurrentHashMap 中所有的桶“置空”,每个桶之前引用的链表依然存在,只是桶不再引用到这些链表(所有链表的结构并没有被修改)。正在遍历某个链表的读线程依然可以正常执行对该链表的遍历。

从上面的代码清单“在 Segment 中执行具体的 put 操作”中,我们可以看出:put 操作如果需要插入一个新节点到链表中时 , 会在链表头部插入这个新节点。此时,链表中的原有节点的链接并没有被修改。也就是说:插入新健 / 值对到链表中的操作不会影响读线程正常遍历这个链表。

下面来分析 remove 操作,先让我们来看看 remove 操作的源代码实现。

1
2
3
4
5
6
7
8
9
10
11
12
13
14
15
16
17
18
19
20
21
22
23
24
25
26
27
28
29
30
31
32
33
34
35
36
//remove 操作
V remove(Object key, int hash, Object value) {
lock(); // 加锁
try{
int c = count - 1;
HashEntry<K,V>[] tab = table;
// 根据散列码找到 table 的下标值
int index = hash & (tab.length - 1);
// 找到散列码对应的那个桶
HashEntry<K,V> first = tab[index];
HashEntry<K,V> e = first;
while(e != null&& (e.hash != hash || !key.equals(e.key)))
e = e.next;
V oldValue = null;
if(e != null) {
V v = e.value;
if(value == null|| value.equals(v)) { // 找到要删除的节点
oldValue = v;
++modCount;
// 所有处于待删除节点之后的节点原样保留在链表中
// 所有处于待删除节点之前的节点被克隆到新链表中
HashEntry<K,V> newFirst = e.next;// 待删节点的后继结点
for(HashEntry<K,V> p = first; p != e; p = p.next)
newFirst = new HashEntry<K,V>(p.key, p.hash,
newFirst, p.value);
// 把桶链接到新的头结点
// 新的头结点是原链表中,删除节点之前的那个节点
tab[index] = newFirst;
count = c; // 写 count 变量
}
}
return oldValue;
} finally{
unlock(); // 解锁
}
}

和 get 操作一样,首先根据散列码找到具体的链表;然后遍历这个链表找到要删除的节点;最后把待删除节点之后的所有节点原样保留在新链表中,把待删除节点之前的每个节点克隆到新链表中。下面通过图例来说明 remove 操作。假设写线程执行 remove 操作,要删除链表的 C 节点 ,另一个读线程同时正在遍历这个链表。

执行删除之前的原链表:

执行删除之前的原链表

执行删除之后的新链表:

执行删除之后的新链表

从上图可以看出,删除节点 C 之后的所有节点原样保留到新链表中;删除节点 C 之前的每个节点被克隆到新链表中,注意:它们在新链表中的链接顺序被反转了。

在执行 remove 操作时,原始链表并没有被修改,也就是说:读线程不会受同时执行 remove 操作的并发写线程的干扰。

综合上面的分析我们可以看出,写线程对某个链表的结构性修改不会影响其他的并发读线程对这个链表的遍历访问。

用 Volatile 变量协调读写线程间的内存可见性

由于内存可见性问题,未正确同步的情况下,写线程写入的值可能并不为后续的读线程可见。

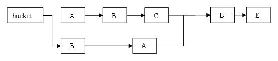
下面以写线程 M 和读线程 N 来说明 ConcurrentHashMap 如何协调读 / 写线程间的内存可见性问题。

协调读-写线程间的内存可见性的示意图

假设线程 M 在写入了 volatile 型变量 count 后,线程 N 读取了这个 volatile 型变量 count。

根据 happens-before 关系法则中的程序次序法则,A appens-before 于 B,C happens-before D。

根据 Volatile 变量法则,B happens-before C。

根据传递性,连接上面三个 happens-before 关系得到:A appens-before 于 B; B appens-before C;C happens-before D。也就是说:写线程 M 对链表做的结构性修改,在读线程 N 读取了同一个 volatile 变量后,对线程 N 也是可见的了。

虽然线程 N 是在未加锁的情况下访问链表。Java 的内存模型可以保证:只要之前对链表做结构性修改操作的写线程 M 在退出写方法前写 volatile 型变量 count,读线程 N 在读取这个 volatile 型变量 count 后,就一定能“看到”这些修改。

ConcurrentHashMap 中,每个 Segment 都有一个变量 count。它用来统计 Segment 中的 HashEntry 的个数。这个变量被声明为 volatile。

1
2
//Count 变量的声明
transient volatile int count;

所有不加锁读方法,在进入读方法时,首先都会去读这个 count 变量。比如下面的 get 方法:

1
2
3
4
5
6
7
8
9
10
11
12
13
14
15
16
17
//get 操作
V get(Object key, int hash) {
if(count != 0) { // 首先读 count 变量
HashEntry<K,V> e = getFirst(hash);
while(e != null) {
if(e.hash == hash && key.equals(e.key)) {
V v = e.value;
if(v != null)
return v;
// 如果读到 value 域为 null,说明发生了重排序,加锁后重新读取
return readValueUnderLock(e);
}
e = e.next;
}
}
return null;
}

在 ConcurrentHashMap 中,所有执行写操作的方法(put, remove, clear),在对链表做结构性修改之后,在退出写方法前都会去写这个 count 变量。所有未加锁的读操作(get, contains, containsKey)在读方法中,都会首先去读取这个 count 变量。

根据 Java 内存模型,对 同一个 volatile 变量的写 / 读操作可以确保:写线程写入的值,能够被之后未加锁的读线程“看到”。

这个特性和前面介绍的 HashEntry 对象的不变性相结合,使得在 ConcurrentHashMap 中,读线程在读取散列表时,基本不需要加锁就能成功获得需要的值。这两个特性相配合,不仅减少了请求同一个锁的频率(读操作一般不需要加锁就能够成功获得值),也减少了持有同一个锁的时间(只有读到 value 域的值为 null 时 , 读线程才需要加锁后重读)。

Java 8基于CAS的ConcurrentHashMap

Java 8 的数据结构

Java 7为实现并行访问,引入了Segment这一结构,实现了分段锁,理论上最大并发度与Segment个数相等。Java 8为进一步提高并发性,摒弃了分段锁的方案,而是直接使用一个大的数组。同时为了提高哈希碰撞下的寻址性能,Java 8在链表长度超过一定阈值(8)时将链表(寻址时间复杂度为O(N))转换为红黑树(寻址时间复杂度为O(long(N)))。其数据结构如下图所示

整体数据结构如下图所示:

java8数据结构

Java 8 的同步方式

对于put操作,如果Key对应的数组元素为null,则通过 CAS操作 将其设置为当前值。如果Key对应的数组元素(也即链表表头或者树的根元素)不为null,则对该元素使用synchronized关键字申请锁,然后进行操作。如果该put操作使得当前链表长度超过一定阈值,则将该链表转换为树,从而提高寻址效率。

1
2
3
4
5
6
static class Node<K,V> implements Map.Entry<K,V> {
final int hash;
final K key;
volatile V val;
volatile Node<K,V> next;
}

对于读操作,由于数组被volatile关键字修饰,因此不用担心数组的可见性问题。同时每个元素是一个Node实例(Java 7中每个元素是一个HashEntry),它的Key值和hash值都由final修饰,不可变更,无须关心它们被修改后的可见性问题。而其Value及对下一个元素的引用由volatile修饰,可见性也有保障。

1
2
3
static final <K,V> Node<K,V> tabAt(Node<K,V>[] tab, int i) {
return (Node<K,V>)U.getObjectVolatile(tab, ((long)i << ASHIFT) + ABASE);
}

初始化

1
2
3
4
5
6
7
8
9
10
public ConcurrentHashMap() {
}
public ConcurrentHashMap(int initialCapacity) {
if (initialCapacity < 0)
throw new IllegalArgumentException();
int cap = ((initialCapacity >= (MAXIMUM_CAPACITY >>> 1)) ?
MAXIMUM_CAPACITY :
tableSizeFor(initialCapacity + (initialCapacity >>> 1) + 1));
this.sizeCtl = cap;
}

通过提供初始容量,计算了 sizeCtl,sizeCtl = [(1.5 * initialCapacity + 1),然后向上取最近的 2 的 n 次方]。如 initialCapacity 为 10,那么得到 sizeCtl 为 16,如果 initialCapacity 为 11,得到 sizeCtl 为 32。

put 过程

put 的主流程,第一个是初始化,第二个是扩容,第三个是帮助数据迁移。

1
2
3
4
5
6
7
8
9
10
11
12
13
14
15
16
17
18
19
20
21
22
23
24
25
26
27
28
29
30
31
32
33
34
35
36
37
38
39
40
41
42
43
44
45
46
47
48
49
50
51
52
53
54
55
56
57
58
59
60
61
62
63
64
65
66
67
68
69
70
71
72
73
74
75
76
77
78
79
80
81
82
83
84
85
86
87
88
89
90
91
public V put(K key, V value) {
return putVal(key, value, false);
}
final V putVal(K key, V value, boolean onlyIfAbsent) {
if (key == null || value == null) throw new NullPointerException();
// 得到 hash 值
int hash = spread(key.hashCode());
// 用于记录相应链表的长度
int binCount = 0;
for (Node<K,V>[] tab = table;;) {
Node<K,V> f; int n, i, fh;
// 如果数组"空",进行数组初始化
if (tab == null || (n = tab.length) == 0)
// 初始化数组,后面会详细介绍
tab = initTable();

// 找该 hash 值对应的数组下标,得到第一个节点 f
else if ((f = tabAt(tab, i = (n - 1) & hash)) == null) {
// 如果数组该位置为空,
// 用一次 CAS 操作将这个新值放入其中即可,这个 put 操作差不多就结束了,可以拉到最后面了
// 如果 CAS 失败,那就是有并发操作,进到下一个循环就好了
if (casTabAt(tab, i, null,
new Node<K,V>(hash, key, value, null)))
break; // no lock when adding to empty bin
}
// hash 居然可以等于 MOVED,这个需要到后面才能看明白,不过从名字上也能猜到,肯定是因为在扩容
else if ((fh = f.hash) == MOVED)
// 帮助数据迁移,这个等到看完数据迁移部分的介绍后,再理解这个就很简单了
tab = helpTransfer(tab, f);

else { // 到这里就是说,f 是该位置的头结点,而且不为空

V oldVal = null;
// 获取数组该位置的头结点的监视器锁
synchronized (f) {
if (tabAt(tab, i) == f) {
if (fh >= 0) { // 头结点的 hash 值大于 0,说明是链表
// 用于累加,记录链表的长度
binCount = 1;
// 遍历链表
for (Node<K,V> e = f;; ++binCount) {
K ek;
// 如果发现了"相等"的 key,判断是否要进行值覆盖,然后也就可以 break 了
if (e.hash == hash &&
((ek = e.key) == key ||
(ek != null && key.equals(ek)))) {
oldVal = e.val;
if (!onlyIfAbsent)
e.val = value;
break;
}
// 到了链表的最末端,将这个新值放到链表的最后面
Node<K,V> pred = e;
if ((e = e.next) == null) {
pred.next = new Node<K,V>(hash, key,
value, null);
break;
}
}
}
else if (f instanceof TreeBin) { // 红黑树
Node<K,V> p;
binCount = 2;
// 调用红黑树的插值方法插入新节点
if ((p = ((TreeBin<K,V>)f).putTreeVal(hash, key,
value)) != null) {
oldVal = p.val;
if (!onlyIfAbsent)
p.val = value;
}
}
}
}
// binCount != 0 说明上面在做链表操作
if (binCount != 0) {
// 判断是否要将链表转换为红黑树,临界值和 HashMap 一样,也是 8
if (binCount >= TREEIFY_THRESHOLD)
// 这个方法和 HashMap 中稍微有一点点不同,那就是它不是一定会进行红黑树转换,
// 如果当前数组的长度小于 64,那么会选择进行数组扩容,而不是转换为红黑树
// 具体源码我们就不看了,扩容部分后面说
treeifyBin(tab, i);
if (oldVal != null)
return oldVal;
break;
}
}
}

addCount(1L, binCount);
return null;
}

现在对put(putVal)方法做一个总结:

  1. 如果待插入的键值对中key或value为null, 抛出异常, 结束. 否则执行2
  2. 如果table为null, 则进行初始化操作initTable(), 否则执行3
  3. 如果table[i]为空, 则用CAS在table[i]头结点直接插入, 如果CAS执行成功, 退出插入操作; 执行步骤7; 如果CAS失败, 则说明有其他节点已经插入, 执行4
  4. 此时判断, hash值是否为MOVED(-1), 如果是则说明其他有其他线程在执行扩容操作, 帮助他们一起扩容, 来提高性能. 如果没有在扩容, 那么执行5
  5. 判断hash的值, 如果fh(table[i])的hash>=0, 则在链表合适的位置插入, 否则, 查看table[i]是否是红黑树结构, 如果是, 则在红黑树适当位置插入. 到此时, 键值对已经顺利插入. 接下来执行6
  6. 如果table[i]节点数binCount不为0, 判断它此时的状态, 是否需要转变为红黑树
  7. 执行addcount(1L, binCount)

初始化数组(initTable)

初始化方法中的并发问题是通过对 sizeCtl 进行一个 CAS 操作来控制的。

1
2
3
4
5
6
7
8
9
10
11
12
13
14
15
16
17
18
19
20
21
22
23
24
25
26
27
28
29
private final Node<K,V>[] initTable() {
Node<K,V>[] tab; int sc;
while ((tab = table) == null || tab.length == 0) {
// 初始化的"功劳"被其他线程"抢去"了
if ((sc = sizeCtl) < 0)
Thread.yield(); // lost initialization race; just spin
// CAS 一下,将 sizeCtl 设置为 -1,代表抢到了锁
else if (U.compareAndSwapInt(this, SIZECTL, sc, -1)) {
try {
if ((tab = table) == null || tab.length == 0) {
// DEFAULT_CAPACITY 默认初始容量是 16
int n = (sc > 0) ? sc : DEFAULT_CAPACITY;
// 初始化数组,长度为 16 或初始化时提供的长度
Node<K,V>[] nt = (Node<K,V>[])new Node<?,?>[n];
// 将这个数组赋值给 table,table 是 volatile 的
table = tab = nt;
// 如果 n 为 16 的话,那么这里 sc = 12
// 其实就是 0.75 * n
sc = n - (n >>> 2);
}
} finally {
// 设置 sizeCtl 为 sc,我们就当是 12 吧
sizeCtl = sc;
}
break;
}
}
return tab;
}

如果sizeCtl<0, 则说明已经有线程在执行初始化, 则其他执行初始化方式的线程应当交出CPU时间片退出; 否则, 用CAS把sizeCtl设置为-1, 告诉其他线程, 自己正在执行初始化, 此时段其他进入初始化方法的线程将交出时间片.

链表转红黑树(treeifyBin)

treeifyBin 不一定就会进行红黑树转换,也可能是仅仅做数组扩容。

1
2
3
4
5
6
7
8
9
10
11
12
13
14
15
16
17
18
19
20
21
22
23
24
25
26
27
28
29
30
31
32
33
private final void treeifyBin(Node<K,V>[] tab, int index) {
Node<K,V> b; int n, sc;
if (tab != null) {
// MIN_TREEIFY_CAPACITY 为 64
// 所以,如果数组长度小于 64 的时候,其实也就是 32 或者 16 或者更小的时候,会进行数组扩容
if ((n = tab.length) < MIN_TREEIFY_CAPACITY)
// 后面我们再详细分析这个方法
tryPresize(n << 1);
// b 是头结点
else if ((b = tabAt(tab, index)) != null && b.hash >= 0) {
// 加锁
synchronized (b) {

if (tabAt(tab, index) == b) {
// 下面就是遍历链表,建立一颗红黑树
TreeNode<K,V> hd = null, tl = null;
for (Node<K,V> e = b; e != null; e = e.next) {
TreeNode<K,V> p =
new TreeNode<K,V>(e.hash, e.key, e.val,
null, null);
if ((p.prev = tl) == null)
hd = p;
else
tl.next = p;
tl = p;
}
// 将红黑树设置到数组相应位置中
setTabAt(tab, index, new TreeBin<K,V>(hd));
}
}
}
}
}

扩容(tryPresize)

扩容是做翻倍扩容的,扩容后数组容量为原来的 2 倍。

1
2
3
4
5
6
7
8
9
10
11
12
13
14
15
16
17
18
19
20
21
22
23
24
25
26
27
28
29
30
31
32
33
34
35
36
37
38
39
40
41
42
43
44
45
46
47
48
49
50
51
// 首先要说明的是,方法参数 size 传进来的时候就已经翻了倍了
private final void tryPresize(int size) {
// c:size 的 1.5 倍,再加 1,再往上取最近的 2 的 n 次方。
int c = (size >= (MAXIMUM_CAPACITY >>> 1)) ? MAXIMUM_CAPACITY :
tableSizeFor(size + (size >>> 1) + 1);
int sc;
while ((sc = sizeCtl) >= 0) {
Node<K,V>[] tab = table; int n;

// 这个 if 分支和之前说的初始化数组的代码基本上是一样的,在这里,我们可以不用管这块代码
if (tab == null || (n = tab.length) == 0) {
n = (sc > c) ? sc : c;
if (U.compareAndSwapInt(this, SIZECTL, sc, -1)) {
try {
if (table == tab) {
@SuppressWarnings("unchecked")
Node<K,V>[] nt = (Node<K,V>[])new Node<?,?>[n];
table = nt;
sc = n - (n >>> 2); // 0.75 * n
}
} finally {
sizeCtl = sc;
}
}
}
else if (c <= sc || n >= MAXIMUM_CAPACITY)
break;
else if (tab == table) {
// 我没看懂 rs 的真正含义是什么,不过也关系不大
int rs = resizeStamp(n);

if (sc < 0) {
Node<K,V>[] nt;
if ((sc >>> RESIZE_STAMP_SHIFT) != rs || sc == rs + 1 ||
sc == rs + MAX_RESIZERS || (nt = nextTable) == null ||
transferIndex <= 0)
break;
// 2. 用 CAS 将 sizeCtl 加 1,然后执行 transfer 方法
// 此时 nextTab 不为 null
if (U.compareAndSwapInt(this, SIZECTL, sc, sc + 1))
transfer(tab, nt);
}
// 1. 将 sizeCtl 设置为 (rs << RESIZE_STAMP_SHIFT) + 2)
// 我是没看懂这个值真正的意义是什么?不过可以计算出来的是,结果是一个比较大的负数
// 调用 transfer 方法,此时 nextTab 参数为 null
else if (U.compareAndSwapInt(this, SIZECTL, sc,
(rs << RESIZE_STAMP_SHIFT) + 2))
transfer(tab, null);
}
}
}

这个方法的核心在于 sizeCtl 值的操作,首先将其设置为一个负数,然后执行 transfer(tab, null),再下一个循环将 sizeCtl 加 1,并执行 transfer(tab, nt),之后可能是继续 sizeCtl 加 1,并执行 transfer(tab, nt)。

所以,可能的操作就是执行 1 次 transfer(tab, null) + 多次 transfer(tab, nt),这里怎么结束循环的需要看完 transfer 源码才清楚。

数据迁移(transfer)

将原来的 tab 数组的元素迁移到新的 nextTab 数组中。

虽然我们之前说的 tryPresize 方法中多次调用 transfer 不涉及多线程,但是这个 transfer 方法可以在其他地方被调用,典型地,我们之前在说 put 方法的时候就说过了,请往上看 put 方法,是不是有个地方调用了 helpTransfer 方法,helpTransfer 方法会调用 transfer 方法的。

此方法支持多线程执行,外围调用此方法的时候,会保证第一个发起数据迁移的线程,nextTab 参数为 null,之后再调用此方法的时候,nextTab 不会为 null。

阅读源码之前,先要理解并发操作的机制。原数组长度为 n,所以我们有 n 个迁移任务,让每个线程每次负责一个小任务是最简单的,每做完一个任务再检测是否有其他没做完的任务,帮助迁移就可以了,而 Doug Lea 使用了一个 stride,简单理解就是步长,每个线程每次负责迁移其中的一部分,如每次迁移 16 个小任务。所以,我们就需要一个全局的调度者来安排哪个线程执行哪几个任务,这个就是属性 transferIndex 的作用。

第一个发起数据迁移的线程会将 transferIndex 指向原数组最后的位置,然后从后往前的 stride 个任务属于第一个线程,然后将 transferIndex 指向新的位置,再往前的 stride 个任务属于第二个线程,依此类推。当然,这里说的第二个线程不是真的一定指代了第二个线程,也可以是同一个线程,这个读者应该能理解吧。其实就是将一个大的迁移任务分为了一个个任务包。

1
2
3
4
5
6
7
8
9
10
11
12
13
14
15
16
17
18
19
20
21
22
23
24
25
26
27
28
29
30
31
32
33
34
35
36
37
38
39
40
41
42
43
44
45
46
47
48
49
50
51
52
53
54
55
56
57
58
59
60
61
62
63
64
65
66
67
68
69
70
71
72
73
74
75
76
77
78
79
80
81
82
83
84
85
86
87
88
89
90
91
92
93
94
95
96
97
98
99
100
101
102
103
104
105
106
107
108
109
110
111
112
113
114
115
116
117
118
119
120
121
122
123
124
125
126
127
128
129
130
131
132
133
134
135
136
137
138
139
140
141
142
143
144
145
146
147
148
149
150
151
152
153
154
155
156
157
158
159
160
161
162
163
164
165
166
167
168
169
170
171
172
173
174
175
176
177
178
179
180
181
182
183
184
185
186
187
188
189
190
191
192
193
194
195
196
197
198
199
private final void transfer(Node<K,V>[] tab, Node<K,V>[] nextTab) {
int n = tab.length, stride;

// stride 在单核下直接等于 n,多核模式下为 (n>>>3)/NCPU,最小值是 16
// stride 可以理解为”步长“,有 n 个位置是需要进行迁移的,
// 将这 n 个任务分为多个任务包,每个任务包有 stride 个任务
if ((stride = (NCPU > 1) ? (n >>> 3) / NCPU : n) < MIN_TRANSFER_STRIDE)
stride = MIN_TRANSFER_STRIDE; // subdivide range

// 如果 nextTab 为 null,先进行一次初始化
// 前面我们说了,外围会保证第一个发起迁移的线程调用此方法时,参数 nextTab 为 null
// 之后参与迁移的线程调用此方法时,nextTab 不会为 null
if (nextTab == null) {
try {
// 容量翻倍
Node<K,V>[] nt = (Node<K,V>[])new Node<?,?>[n << 1];
nextTab = nt;
} catch (Throwable ex) { // try to cope with OOME
sizeCtl = Integer.MAX_VALUE;
return;
}
// nextTable 是 ConcurrentHashMap 中的属性
nextTable = nextTab;
// transferIndex 也是 ConcurrentHashMap 的属性,用于控制迁移的位置
transferIndex = n;
}

int nextn = nextTab.length;

// ForwardingNode 翻译过来就是正在被迁移的 Node
// 这个构造方法会生成一个Node,key、value 和 next 都为 null,关键是 hash 为 MOVED
// 后面我们会看到,原数组中位置 i 处的节点完成迁移工作后,
// 就会将位置 i 处设置为这个 ForwardingNode,用来告诉其他线程该位置已经处理过了
// 所以它其实相当于是一个标志。
ForwardingNode<K,V> fwd = new ForwardingNode<K,V>(nextTab);


// advance 指的是做完了一个位置的迁移工作,可以准备做下一个位置的了
boolean advance = true;
boolean finishing = false; // to ensure sweep before committing nextTab

/*
* 下面这个 for 循环,最难理解的在前面,而要看懂它们,应该先看懂后面的,然后再倒回来看
*
*/

// i 是位置索引,bound 是边界,注意是从后往前
for (int i = 0, bound = 0;;) {
Node<K,V> f; int fh;

// 下面这个 while 真的是不好理解
// advance 为 true 表示可以进行下一个位置的迁移了
// 简单理解结局:i 指向了 transferIndex,bound 指向了 transferIndex-stride
while (advance) {
int nextIndex, nextBound;
if (--i >= bound || finishing)
advance = false;

// 将 transferIndex 值赋给 nextIndex
// 这里 transferIndex 一旦小于等于 0,说明原数组的所有位置都有相应的线程去处理了
else if ((nextIndex = transferIndex) <= 0) {
i = -1;
advance = false;
}
else if (U.compareAndSwapInt
(this, TRANSFERINDEX, nextIndex,
nextBound = (nextIndex > stride ?
nextIndex - stride : 0))) {
// 看括号中的代码,nextBound 是这次迁移任务的边界,注意,是从后往前
bound = nextBound;
i = nextIndex - 1;
advance = false;
}
}
if (i < 0 || i >= n || i + n >= nextn) {
int sc;
if (finishing) {
// 所有的迁移操作已经完成
nextTable = null;
// 将新的 nextTab 赋值给 table 属性,完成迁移
table = nextTab;
// 重新计算 sizeCtl:n 是原数组长度,所以 sizeCtl 得出的值将是新数组长度的 0.75 倍
sizeCtl = (n << 1) - (n >>> 1);
return;
}

// 之前我们说过,sizeCtl 在迁移前会设置为 (rs << RESIZE_STAMP_SHIFT) + 2
// 然后,每有一个线程参与迁移就会将 sizeCtl 加 1,
// 这里使用 CAS 操作对 sizeCtl 进行减 1,代表做完了属于自己的任务
if (U.compareAndSwapInt(this, SIZECTL, sc = sizeCtl, sc - 1)) {
// 任务结束,方法退出
if ((sc - 2) != resizeStamp(n) << RESIZE_STAMP_SHIFT)
return;

// 到这里,说明 (sc - 2) == resizeStamp(n) << RESIZE_STAMP_SHIFT,
// 也就是说,所有的迁移任务都做完了,也就会进入到上面的 if(finishing){} 分支了
finishing = advance = true;
i = n; // recheck before commit
}
}
// 如果位置 i 处是空的,没有任何节点,那么放入刚刚初始化的 ForwardingNode ”空节点“
else if ((f = tabAt(tab, i)) == null)
advance = casTabAt(tab, i, null, fwd);
// 该位置处是一个 ForwardingNode,代表该位置已经迁移过了
else if ((fh = f.hash) == MOVED)
advance = true; // already processed
else {
// 对数组该位置处的结点加锁,开始处理数组该位置处的迁移工作
synchronized (f) {
if (tabAt(tab, i) == f) {
Node<K,V> ln, hn;
// 头结点的 hash 大于 0,说明是链表的 Node 节点
if (fh >= 0) {
// 下面这一块和 Java7 中的 ConcurrentHashMap 迁移是差不多的,
// 需要将链表一分为二,
// 找到原链表中的 lastRun,然后 lastRun 及其之后的节点是一起进行迁移的
// lastRun 之前的节点需要进行克隆,然后分到两个链表中
int runBit = fh & n;
Node<K,V> lastRun = f;
for (Node<K,V> p = f.next; p != null; p = p.next) {
int b = p.hash & n;
if (b != runBit) {
runBit = b;
lastRun = p;
}
}
if (runBit == 0) {
ln = lastRun;
hn = null;
}
else {
hn = lastRun;
ln = null;
}
for (Node<K,V> p = f; p != lastRun; p = p.next) {
int ph = p.hash; K pk = p.key; V pv = p.val;
if ((ph & n) == 0)
ln = new Node<K,V>(ph, pk, pv, ln);
else
hn = new Node<K,V>(ph, pk, pv, hn);
}
// 其中的一个链表放在新数组的位置 i
setTabAt(nextTab, i, ln);
// 另一个链表放在新数组的位置 i+n
setTabAt(nextTab, i + n, hn);
// 将原数组该位置处设置为 fwd,代表该位置已经处理完毕,
// 其他线程一旦看到该位置的 hash 值为 MOVED,就不会进行迁移了
setTabAt(tab, i, fwd);
// advance 设置为 true,代表该位置已经迁移完毕
advance = true;
}
else if (f instanceof TreeBin) {
// 红黑树的迁移
TreeBin<K,V> t = (TreeBin<K,V>)f;
TreeNode<K,V> lo = null, loTail = null;
TreeNode<K,V> hi = null, hiTail = null;
int lc = 0, hc = 0;
for (Node<K,V> e = t.first; e != null; e = e.next) {
int h = e.hash;
TreeNode<K,V> p = new TreeNode<K,V>
(h, e.key, e.val, null, null);
if ((h & n) == 0) {
if ((p.prev = loTail) == null)
lo = p;
else
loTail.next = p;
loTail = p;
++lc;
}
else {
if ((p.prev = hiTail) == null)
hi = p;
else
hiTail.next = p;
hiTail = p;
++hc;
}
}
// 如果一分为二后,节点数少于 8,那么将红黑树转换回链表
ln = (lc <= UNTREEIFY_THRESHOLD) ? untreeify(lo) :
(hc != 0) ? new TreeBin<K,V>(lo) : t;
hn = (hc <= UNTREEIFY_THRESHOLD) ? untreeify(hi) :
(lc != 0) ? new TreeBin<K,V>(hi) : t;

// 将 ln 放置在新数组的位置 i
setTabAt(nextTab, i, ln);
// 将 hn 放置在新数组的位置 i+n
setTabAt(nextTab, i + n, hn);
// 将原数组该位置处设置为 fwd,代表该位置已经处理完毕,
// 其他线程一旦看到该位置的 hash 值为 MOVED,就不会进行迁移了
setTabAt(tab, i, fwd);
// advance 设置为 true,代表该位置已经迁移完毕
advance = true;
}
}
}
}
}
}

说到底,transfer 这个方法并没有实现所有的迁移任务,每次调用这个方法只实现了 transferIndex 往前 stride 个位置的迁移工作,其他的需要由外围来控制。

ConcurrentHashMap 实现高并发的总结

ConcurrentHashMap 是一个并发散列映射表的实现,它允许完全并发的读取,并且支持给定数量的并发更新。相比于 HashTable 和用同步包装器包装的 HashMap(Collections.synchronizedMap(new HashMap())),ConcurrentHashMap 拥有更高的并发性。在 HashTable 和由同步包装器包装的 HashMap 中,使用一个全局的锁来同步不同线程间的并发访问。同一时间点,只能有一个线程持有锁,也就是说在同一时间点,只能有一个线程能访问容器。这虽然保证多线程间的安全并发访问,但同时也导致对容器的访问变成串行化的了。

在使用锁来协调多线程间并发访问的模式下,减小对锁的竞争可以有效提高并发性。有两种方式可以减小对锁的竞争:

  1. 减小请求 同一个锁的频率。
  2. 减少持有锁的时间。

ConcurrentHashMap 的高并发性主要来自于三个方面:

  1. 用分离锁实现多个线程间的更深层次的共享访问。
  2. 用 HashEntery 对象的不变性来降低执行读操作的线程在遍历链表期间对加锁的需求。
  3. 通过对同一个 Volatile 变量的写 / 读访问,协调不同线程间读 / 写操作的内存可见性。

使用分离锁,减小了请求 同一个锁的频率。

通过 HashEntery 对象的不变性及对同一个 Volatile 变量的读 / 写来协调内存可见性,使得 读操作大多数时候不需要加锁就能成功获取到需要的值。由于散列映射表在实际应用中大多数操作都是成功的 读操作,所以 2 和 3 既可以减少请求同一个锁的频率,也可以有效减少持有锁的时间。

通过减小请求同一个锁的频率和尽量减少持有锁的时间 ,使得 ConcurrentHashMap 的并发性相对于 HashTable 和用同步包装器包装的 HashMap有了质的提高。